další info     >>>> O anténách       Kontakt

    
 

Z match prakticky


Úvod

Vzpomínce na jeden z nejlepších anténních tunerů jsem věnoval tuto nostalgickou stránku: http://www.sidlo.com/ok1ufc/Z_match.htm, kde jsem vysvětlil podrobně princip ladění každé ze dvou částí tuneru. Jak jsem zjistil náhledem do internetu, nejsem sám, kdo výhody popsaného principu doceňuje, např. VK6YSF popsal zcela vyčerpávajícím způsobem návod na konstrukci kopie základní části tuneru KW EZee Match zde: http://vk6ysf.com/kw_ezee_match.htm.

Protože jsem také s uvedeným principem v minulosti experimentoval, několikrát se k němu vrátil a dodnes nemohu zapomenout na několik nejdůležitějších vlastností, které nám tento princip dává, rozhodl jsem se pro inovaci tohoto principu a přístroje.

Výhody tuneru Z match jsou:

1. Poměrně malé ztráty v široké oblasti laděných impedancí. To je dáno geniální kombinací HF transformátorů a LC čtyřpólů. Proč to tak je jsem zdůvodnil v původním článku. Promyslete si hlavně rozdíl ve ztrátách u pasivního čtyřpólu a HF transformátoru. Použijte Smithův diagram a kreslete si Q křivky zatíženého obvodu v obou případech.
2. Jedná se o symetrický tuner, symetrická neuzemněná soustava, např. G5RV, PA0FRI nebo Double Zeppelin anténa má realizován přechod mezi symetrickou a nesymetrickou částí pomocí HF transformátoru.
3. Přizpůsobení se ladí rychle a jednoduše jen pomocí dvou kondenzátorů. Ladění s rollerem je pomalé. Ladění s rollerem a dvěma kapacitami považuji za "pomalé a pracné" neštěstí.

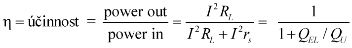
Poznámka k bodu 1.: Na následujících dvou obrázcích je zakreslena transformace nízké impedance (konkrétně Z = 15 + j0) pomocí L článku a pomocí dobře navrženého Z match, který se skládá z HF transformátoru (důležité) s vlastní indukčností, částečně kompenzované paralelní kapacitou a ze sériové kapacity. Zatímco u L článku docílíte Q zatíženého obvodu asi Q=1.4, u Z-match s HF transformátorem je Q=1.3.... Vzorec o ztrátách ve čtyřpólech (tento)

jsem odvodil na stránce zde. Je zřejmé, že nejnižší ztráty má takový obvod, který má QEL co nejmenší a jakost použitých komponentů Qu je co největší. Pro oba případy jsem schéma transformací zakreslil do Smithových diagramů. Kružnice pasivních komponentů (L, C, trafo ...) jsou zelené, kružnice Q zatíženého obvodu s hodnotou Q = 1.3 je oranžová. L článek má hodnotu vyšší, má v daném případě větší ztráty.

     

Vlevo je schéma transformace s L článkem, vpravo je schéma transformace s HF trafem Z-match, které má menší ztráty. Jedním z mýtů je, že L článek má nejmenší ztráty. Správnější definice by měla být, že z jednoduchých čtyřpólů (L, T, PI, ...) má L článek nejmenší ztráty. Existují však jiná technická řešení, která využívají kaskádního řazení L článků nebo HF transformátorů, u kterých lze provést návrh tak, aby obvod nepřekročil konkrétní, předem stanovenou velikost jakosti Q. Tedy i ztrát. V našem případě bylo Q=1.3, ale v praxi se pro návrhy propustí používají i mnohem menší hodnoty jakost Q. Další příklady, jak se s tím dělá, jsem uvedl v příkladech č. 7 a č. 8 úvodního článku k práci se Smithovým diagramem.

Schémata zapojení pro pochopení principu činnosti - převzato z předchozího článku
   
Pro pochopení si schéma Supermatch nebo Z match  překreslete do názornějšího tvaru, abyste viděli části pro pro horní a dolní pásma:

V sérii s vysílačem je vždy kondenzátor Cs. Supermatch obsahuje dva systémy s HF trafem, pomocí kterých se přizpůsobují antény pro pásma 80/40/30 metrů nebo antény pro 20/17/15/12/10 metrů. Provedení indukčností a zapojení kapacit Ch pro horní pásma a Cp pro spodní pásma se liší.

Poznámka: Všimněte si, že Cp je vždy připojen k systému pro horní pásma. Samozřejmě, že vždy s paralelní indukčností. Cp a Ch jsou spřažené (na jedné hřídeli). Pokud zkoušíte jen jednu část tuneru, nezapomeňte na tuto skutečnost nebo použijte samostatný kondenzátor Cp.
 

Praktické provedení

Tunery Z - match v současné době nikdo nevyrábí. Proto musí konstruktér vyřešit několik detailů.

1. Prvním je použití vhodných kondenzátorů. Naštěstí firma Zach, konkrétně Slávek ok1tn vyrábí vynikající vzduchové kondenzátory. Použil jsem 2 ks kondenzátorů s kapacitou 500 pF. Kondenzátory mají rozměry čela přibližně 90 x 75 mm (h x b) a kondenzátor bez hřídelky je přes čela dlouhý 160 mm. Celková délka zástavby je o něco větší, hřídelka je dlouhá asi 25 mm a přes čela jsou ještě různé šrouby.

2. Druhým detailem je konstrukce HF transformátorů. Rozhodl jsem se opustit klasické vzduchové provedení. Po zkušenostech s různými HF trafy v lineárních zesilovačích, balunech a na MLA anténách se nebojím ztrát ve feritových materiálech, ale jde mi hlavně o dokonalý přechod mezi symetrickou a uzemněnou částí antény. Sprostá slova jsou "common mode currents", tedy proudy, které tečou přes plášť koaxiálního napáječe a staniční zem. Tyto proudy dovedou degradovat mnoho neuzemněných antén k nepoužitelnosti.

Zkoušky

1. První zkouškou je jednoduchost a rychlost ladění pro různé hodnoty přizpůsobované impedance. Snadno to ověříme na stole, a to s pomocí anténního analyzátoru:

Já jsem si dělal tuner pro srovnávací zkoušky antén G5RV a PA0FRI vyrobených z Rupalitu. Na obrázku nahoře vidíte vlevo nahoře displej analyzátoru. Točil jsem s jedním a s druhým kondíkem a snažil se nastavit R = 50 Ohmů a jX=0 Ohmů. Vše leželo na stole a neměl jsem zatím ani knoflíky na hřídelkách. I tak, jen jak jsem točil rukou za hřídelky to šlo snadno. Všimněte si, jak je křivka s průběhem VSWR pěkně plochá v širokém rozsahu kmitočtů. Na dalších obrázcích jsou ještě dva jiné kmitočty. Zkoušel jsem část tuneru pro pásmo 80/40 metrů:

  

 

Jednoduše řečeno, ladí se s tím parádně, i když to leží pospojované na stole a je to bez hřídelek.

Při tomto experimentu jsem si potřeboval ověřit několik konstrukcí HF trafa. S použitými kondenzátory potřebuji ladit v rozsahu reálných impedancí asi od 15 do 5000 Ohmů. To vyžaduje určitý důmysl v práci s indukčností transformátoru a jeho transformačním převodem. Já jsem jako výchozí hodnotu použil parametry původních vzduchových traf podle VK6YSF a tyto hodnoty jsem během experimentů upravil.

Nyní mám připravena HF trafa na materiálu 4C65, vinutá Rupalitem. Následovat bude výkonová zkouška s výkonem 1000 Wattů do umělých zátěží.

Až budu dělat zmíněné provozní měření antén, uvedu zde foto a popis finální podoby mého tuneru.

Konstrukční schéma Z-match

V průběhu vývoje tohoto tuneru jsem zjistil, že se pro moje experimentální účely až tak nehodí univerzální tuner, ale naopak, potřebuji s přijatelnou účinností ladit velice rozdílné impedance. Proto moje současná varianta nevyužívá možnosti ladit souběžně dvě sekce, tj. 2 x 250 pF, ale u obou kondenzátorů jsem nechal rozsah ladění v plném rozsahu (moje kondenzátory ladí v rozsahu cca od 15 pF do 510 pF). Trafa jsem zkonstruoval jako výměnná, zasunují se celkem do 4 svorek zvenku přístroje. Snadno si vložím do svorek trafo transformující dolu nebo nahoru. Systém, který využívá kondenzátoru v sérii s vinutím nelze použít, aby toto to fungovalo, je vždy nezbytná paralelní kapacita C pad. Ta je k dispozici od druhé sekce tuneru, vždy s paralelní indukčností. To je pro experimentální tuner komplikace. Vrátil jsem se proto k prostému zapojení se 2 kondenzátory. Nesymetrický vstup přístroje jsem vybavil proudovým balunem 1:1.

Schéma:

Výkonová zkouška

Bohužel, mám jen dvě umělé zátěže, které jsou dimenzované na 1000 Wattů. Takže jsem mohl trafo zkoušet do reálných impedancí 25, 50 a 100 Ohmů. Během několikaminutového testu jsem neregistroval žádné nepříznivé oteplení jádra transformátoru.

Další uplatnění

Díky tomu, že lze snadno vyrobit výměnné HF trafo pro vysoké výkony a jakékoliv potřebné hodnoty indukčností, hodí se tento tuner také k přizpůsobování vertikálů s meandrovitou protiváhou, vč. vertikálů pro pásma 80m a 160m. V literatuře označováno také jako FOLDED COUNTERPOISE (FCP). Takový tuner pak umí transformovat nízké impedance s maličkými ztrátami. Hezký článek o vertikálech s FCP je uveden na Internetu zde. Osobně používám podobného principu u všech vertikálních antén pro pásma 160m, 80m, 40m a 30m. Použil jsem toto řešení rovněž u modifikace antény GAP Titan DX pro pásmo 40m.

 

© 2014  Míra Šídlo, ok1ufc, datum poslední úpravy: 01.03.2015