Home O anténách       Kontakt

      
 
  Jak nastavovat antény pomocí měření vlastní a vzájemné impedance prvků?

Všeobecně
 

Překvapilo mě množství dotazů, které mi přišly k metodě nastavování směrových antén pomocí znalosti hodnot vlastní a vzájemné impedance. Proto bych zde chtěl upozornit na hezky zpracovaný popis problematiky od jiných autorů, kterou zveřejnil Ústav radioelektroniky v Brně ve své multimediální prezentaci zde: http://www.urel.feec.vutbr.cz/~raida/multimedia/index.php?nav=4-2-A

Já jsem se snažil o jednoduchou popularizaci problematiky na těchto stránkách  a o uvedení jednoduchých postupů, kde se nepočítá vůbec mebo jen maličko a jednoduše, jako v tomto článku. O definici vzájemné impedance jsem napsal v rámci definic parametrů antény úvodní článek zde: http://www.sidlo.com/ok1ufc/vzajemna_impedance.htm.  Také jsem v jednom článku popsal způsob nastavování quadu, který uvedeného principu využívá. Článek byl napsán tak, aby se v něm nic nepočítalo a aby se vystačilo jen s čísly, která vypadnou i z nejjednoduššího NEC modelu a ze základního měření. Opravdu jsem netušil, že metoda není až tak známá, jak jsem předpokládal. Proto jsem narychlo napsal tento článek s praktickými příklady nastavování dvou známých antén. Opět dvouprvkový QUAD a dvouprvková yagi typu Jungle Job. Antény jsem si vybral z toho důvodu, že jsem se s nimi nedávno patlal a poznamenal jsem si některé hodnoty. V těchto příkladech jsem nepatrně a velice jednoduše počítal na kalkulačce a pracoval jsem s hodnotami vlastních a vzájemných impedancí.

Použité antény

Jejich schémata neuvádím, již jsem je mnohokrát uvedl jinde na svých stránkách. Uvádím však u každé antény optimální nastavení (zelená pole) a nastavení, které provedl autor antény (žlutá pole). Hodnoty jsou zde v této tabulce:

Definice proměnných

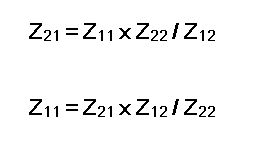
Bohužel, tabulku jsem skenoval dříve, než jsem měl tušení o tom, že budu psát tento článek. Proto je v ní několik chybiček. Sloupce jsou značené n, řádky m. Navíc jsem tam indexy psal do stejné řádky, jako jsou označené Z. Snad se v tom vyznáte. Také, myslím, indexování je jiné, než jsem použil v úvodním článku, ale to není důležité. Důležité jsou principy. U těchto antén jsou dodržena tato pořadí. Na prvním řádku je jako první uvedena vzájemná impedance na svorkách zářiče a jako druhá je uvedena jeho vlastní impedance. Ta je měřena při rozpojeném reflektoru. Na druhém řádku je uvedena vzájemná impedance reflektoru. Ta je měřena na rozpojeném reflektoru a spojených svorkách zářiče. Jako druhá je uvedena hodnota vlastní impedance reflektoru. Ta je měřena při rozpojeném zářiči. Rozpojením prvku jsme položili podmínku nulové hodnoty proudu. Při této podmínce lze vždy z jedné hodnoty vzájemné impedance a dvou hodnot vlastních impedancí dopočítat další chybějící hodnotu. Platí vztahy:

Tyto vztahy bychom odvodili z definic uvedených v úvodním článku. Pozor na indexování, v úvodním článku je správné, ale je jiné, než používám zde. Bohužel, dělal jsem dost s dvouprvkovými anténami, a to prakticky a na stožáru a netušil jsem, že budu o tom psát článek.

V barevné tabulce jsou uvedené případy správného nastavení (zelené) a chybného nastavení (žluté). Na konci článku pak uvedu i dopady do vyzařovacích diagramů.

Několik poznámek:

Prototyp QUADu byl určen pro pásmo 15m, výšku instalace 20m, ale hlavně byl určen do sady vícepásmového quadu. Rozteči prvků a vyzařování nastavenému na nejlepší F/B odpovídá hodnota impedance asi 93 Ohmů. Ham, který ho zkoušel, tak mi radostně oznámil, že se mu ho podařilo nastavit s vynikajícím VSWR na 50 Ohmů. Vím, že se musel dopustit hrubé chyby ve směrovosti, proto jsem tento případ zde rozebral. Ten quad byl prostě určen pro napájení balunem s transformací 1:2 nebo pro gama přizpůsobení.

Prototyp Jungle Job byl určen pro pásmo 20 metrů a byl jsem požádán o kontrolu nastavení antény v QTH.

Měření vlastních a vzájemných impedancí

V daném QTH jsem použil metodu měření vlastních a vzájemných impedancí přesně tak, jak zde popisuji. U quadu i Jungle Job lze snadno rozpojit reflektor uprostřed. Dále uvedu, jak se podle výše uvedeného vzorce prakticky počítá. Z hlavy a na papíře je násobení a dělení komplexních čísel přeci jenom pracné. Takže druhým přístrojem, který tahám s VNA je kalkulačka HP35s. Typ není podstaný, ale já jsem na ní zvyklý. A když ji náhodou zapomenu, tak mám ve svém notebooku její emulátor, který vypadá stejně a počítá stejně. Výhoda je v tom, že do kalkulačky nasypu reálnou hodnotu impedance, zmačknu čudl "i" a dosypu jalovou složku impedance. A pak jen zmačknu "*" a pak "/" a mám vynásobena a vyděleno. Tedy znám v tomto okamžiku všechny hodnoty vlastních a vzájemných impedancí a vím, že anténa vyzařuje jako její model v NEC.

Moje terénní kalkulačka vypadá takto, jako na obrázku vlevo.

Poznámka: pokud zrovna nemáte jednoduchou vědeckou kalkulačku, která počítá s komplexními čísly, můžete si zde stáhnout zdarma emulátor takové kalkulačky: http://www.hp.com/sbso/product/calculators-emulators/scientific-calculator-emulator.html

Na dalších obrázcích ukazuji, jak počítám:


 

Na prvním obrázku počítám hodnoty vzájemné impedance reflektoru. Vidíte, jak běžně sedí hodnoty impedancí. Na obrázku pod ním počítám hodnotu impedance zářiče. Opět šipky ukazují do tabulky na to, co bychom měli naměřit.

Jak postupovat, když to nenaměříme?

Je jen několik málo možností:

1. Neměříme přesně. Naučit se měřit s anténním analyzátorem je důležité a měli bychom najít všechny příčiny systematických chyb, které děláme. Základem je, abychom uměli změřit reálnou a jalovou složku impedance, nikoliv se jen naučit indikovat hodnoty VSWR.

2. Máme v anténní zóně další parazitní zářiče, které nám ovlivňují měření vlastních impedancí. Tyto parazitní zářiče nám budou vždy škodit a nikdy nedocílíme požadované směrovosti. Toho si buď musíme být vědomi, pak anténu nenaladíme a nesmí nám to vadit. Nebo se parazitních zářičů zbavíme. Pokud však v elektromagnetické zóně parazitní rezonátory jsou, měříme vždy vzájemnou impedanci s nimi, nikoliv vlastní impedanci. Podmínkou je naučit se vyrábět a instalovat antény tak, abychom byli schopni vlastní impedance zářičů změřit.

Také se nám může stát, že máme jiné hodnoty vlastních impedancí. To svědčí o tom, že jsme buď anténu nenaladili nebo jsme ji jiným způsobem nějak "poštelovali". Pokud nám však sedí s přesností, kterou zde uvádím, hodnoty vlastních a vzájemných impedancí tak, že se nám vypočtený výsledek liší jen o pár ohmů, můžeme být happy. To zde zodpovědně tvrdím, protože vím, že nám žádne další zářiče a jiné zasvinění elektromagnetické zóny nevadí a anténa funguje. Nemusí být ovšem naladěná. Ale to je jednoduché, doladit ji na hodnoty vlastních impedancí u každého prvku samostatně..

Jak dělat s modelem NEC při nastavování?

Bude-li nám sedět kontrolní výpočet vzájemných impedancí získaný měřením vlastních impedancí a druhé vzájemné impedance, bude nám anténa vyzařovat jako její model podle NEC.

V modelu antény si můžeme nastavit hodnoty vlastní impedance na naměřené hodnoty. Pak nám program vypočte hodnoty vzájemné impedance v místě napájení a skutečný vyzařovací diagram.

V modelu NEC také můžeme optimalizovat a na takto vypočtené hodnoty nastavit vlastní impedance prvků antény. Pak nám bude anténa vyzařovat jako její optimalizovaný model.

Jak vypadá nastavení našich antén?

Anténa Jungle Job:

V první tabulce jste viděli, že se anténa až tak nelišila od svého modelu. Pečlivým nastavením zářičů na hodnoty vlastních impedancí vylepšíme F/B o cca 3 dB.

Anténa Quad:

Tato anténa byla chybně nastavena na hodnotu vzájemné impedance 50 Ohmů. Takové "doštelování" zhoršilo její F/B o cca 6 dB.

Závěr

V amatérské praxi jsme schopni docílit měřením vlastních a vzájemných impedancí poměrně precizního nastavení antény. Stačí znát metodu, umět zadat do kalkulačky pár komplexních čísel, ponásobit, podělit porovnat s modelem NEC, optimalizovat v NEC, nastavit vlastní impedance, změřit vzájemné impedance a zkontrolovat nastavení výpočtem. Je to rychlá a elegantní metoda nastavování.

73's Míra, ok1ufc


© 2011 - Věra Šídlová a Míra Šídlo, ok1ufc, datum poslední úpravy: 12.01.2014